1. Singular Case
Singular Case는 연립방정식을 풀었을 때, 해가 없거나 무한한 경우를 말한다.
(1) Row form
| 조건 | |
|---|---|
| Parallel(해 없음) | 직선이나 평면이 서로 평행 |
| Overlap(해 무한) | 직선이나 평면이 완전히 겹침 |
(2) Column form
우선 Column form이 평행하려면 두 개의 벡터가 서로 나란(평행)해야 한다.(직선의 기울기가 같은 것과는 다르다.)
| 조건 | |
|---|---|
| Parallel(해 없음) | 벡터들이 있는 평면 밖에 찾고자 하는 값이 있다. |
| Overlap(해 무한) | 벡터들이 있는 평면 안에 찾고자 하는 값이 있다. |
2. Gauss Elimination
가우스 소거법을 활용하면 미지수가 몇 개든 기계적으로(프로그래밍 해서) 연립방정식을 풀 수 있다.
(1) 계산 방법

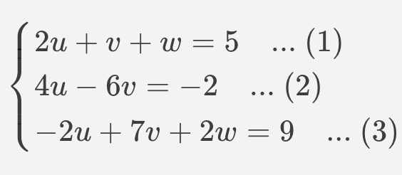
우선 u를 제거해야 한다.
- (1)로 (2)의 $u$를 제거한다.
$(2) \Rightarrow (2)- 2\cdot (1)\Rightarrow-8v-2w=-12$
- (1)로 (3)의 $u$를 제거한다.
$(3) \Rightarrow (1)+(3)\Rightarrow8v+3w=14$
- u 제거를 마쳤으므로 이번에는 (2)로 (3)의 v를 제거해야 한다.
$(3) \Rightarrow (2)+(3) \Rightarrow w=2$
이 단계에서 연립 방정식을 행렬로 바꾸면 아래와 같은 행렬이 나오는데, Pivot을 기준으로 아래에는 0이 있다. 이 행렬을 Upper Triangular Matrix라고 한다.
$\begin{bmatrix} -2 & 1 & 1 & 5 \\ 0 & -8 & -2 & -12 \\ 0 & 0 & 1 & 2\end{bmatrix}$
- w를 구했으니 (2)에 w를 넣어 v를 구하고, (1)에 w, v를 넣어서 구하면 계산이 끝난다.(이런 계산 방법을 역치환이라고 한다)
(2) Pivot

이미지 출처: https://medium.com/sho-jp/towards-understanding-linear-algebra-part-1-d43710535503
위 그림에서 대각에 위치한 것들을 Pivot이라고 한다. 모든 Pivot이 0이 아닌 값을 가질 때 연립 방정식은 unique한 솔루션을 가진다. Pivot 중 하나라도 0이 있다면 Singular Case가 된다.
(3) Break Down
Break Down은 Pivot의 위치에 0이 나타날 때 수행한다. 이 때 가우스 소거는 잠시 중단한다. 원리는 단순하다. 연립 방정식은 순서를 바꾼다고 해서 해가 달라지지 않기 때문에 연립 방정식의 순서를 바꿔줌으로써 문제를 해결한다.
ex 1) Break Down으로 하나의 해를 구할 수 있는 예
현 상태에서는 Pivot의 위치에 0이 없으므로 문제가 없다. 가우스 소거법을 해본다.

-
(1)로 (2)의 $u$를 제거한다.
$(2) \Rightarrow (2)- 2\cdot (1)\Rightarrow3w=b-2a$ -
(1)로 (3)의 $u$를 제거한다.
$(3) \Rightarrow (3)-4\cdot(1)\Rightarrow2v+4w=c-4a$
여기서 연립 방정식을 행렬로 만들어 보자.
$$\begin{bmatrix} 1 & 1 & 1 & a \\ 0 & 0 & 3 & b-2a \\ 0 & 2 & 4 & c-4a\end{bmatrix}$$
(2)의 pivot으로 (3)의 v를 없애야 하는데 (2)의 Pivot이 0임을 알 수 있다. 그래서 (2)와 (3)의 위치를 바꾼다.
$$\begin{bmatrix} 1 & 1 & 1 & a \\ 0 & 2 & 4 & c-4a \\ 0 & 0 & 3 & b-2a \end{bmatrix}$$
그럼 가우스 소거를 하는 데 문제가 없다. 이런 계산 방법을 Break Down이라고 한다.
ex 2) Break Down으로 하나의 해를 구할 수 없는 예

현 상태에서는 Pivot의 위치에 0이 없으므로 문제가 없다. 가우스 소거법을 해본다.
-
(1)로 (2)의 $u$를 제거한다.
$(2) \Rightarrow (2)- 2\cdot (1)\Rightarrow3w=b-2a$ -
(1)로 (3)의 $u$를 제거한다.
$(3) \Rightarrow (3)-4\cdot(1)\Rightarrow4w=c-4a$
여기서 연립 방정식을 행렬로 만들어 보자.
$$\begin{bmatrix} 1 & 1 & 1 & a \\ 0 & 0 & 3 & b-2a \\ 0 & 0 & 4 & c-4a\end{bmatrix}$$
이 경우에는 (2)와 (3)을 Pivoting하더라도 Pivot의 자리를 0이 아닌 값으로 채울 수 없으며, 해가 무한히 많거나, 해가 없다.
$$w=\frac{b-2a}{3}, w=\frac{c-4a}{4}$$
(2)와 (3)을 봤을 때 w는 위와 같은 값을 가진다. 만약 두 개의 w가 같도록 a, b, c가 조절되어 있다면 해가 무한한 것이고, 두 개가 다르다면 해가 없는 것이다.
'강의록 > 선형대수' 카테고리의 다른 글
| [선형대수] 6강. 영벡터공간과 해집합 (0) | 2020.03.24 |
|---|---|
| [선형대수] 5강. 벡터공간과 열벡터공간 (0) | 2020.03.24 |
| [선형대수] 4강. 역행렬과 전치행렬 (0) | 2020.03.19 |
| [선형대수] 3강. LU 분할 (0) | 2020.03.18 |
| [선형대수] 1강. 선형성 정의 및 1차 연립 방정식의 의미 (0) | 2020.03.18 |